get app
inews
Aa Text
Read Next : Kronologi Resbob Tersangka Ujaran Kebencian Suku Sunda Ditangkap di Jawa Timur

Update Covid-19 di Jatim 13 Desember: Positif Tambah 791 Kasus Jadi 69.921 Orang

Minggu, 13 Desember 2020 - 17:44:00 WIB
Update Covid-19 di Jatim 13 Desember: Positif Tambah 791 Kasus Jadi 69.921 Orang
Ilustrasi Covid-19. (foto: Istimewa)

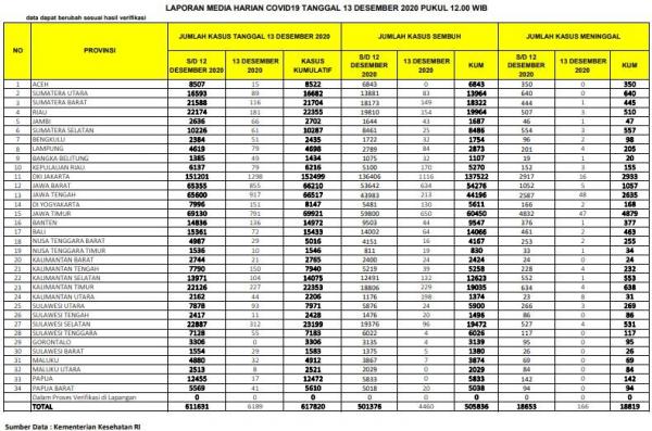
JAKARTA, iNews.id - Update terbaru jumlah warga di Jawa Timur yang terkonfirmasi positif Covid-19 mencapai sebanyak 69.921 orang pada Minggu (13/12/2020) hari ini. Ada penambahan 791 kasus baru dari sebelumnya berjumlah 69.130 orang.

Melansir data laporan media harian Covid-19, selain kasus terkonfirmasi positif juga ada penambahan 650 pasien sembuh. Sementara korban meninggal bertambah 47 orang.

Total keseluruhan update Covid-19 untuk Jatim per Minggu hari ini yakni 69.921 orang positif, 60.450 sembuh dan 4.879 meninggal dunia.

Editor: Donald Karouw

Follow Whatsapp Channel iNews untuk update berita terbaru setiap hari! Follow
Lihat Berita Lainnya

iNews.id
iNews Network
Kami membuka kesempatan bagi Anda yang ingin menjadi pebisnis media melalui program iNews.id Network. Klik lebih lanjut